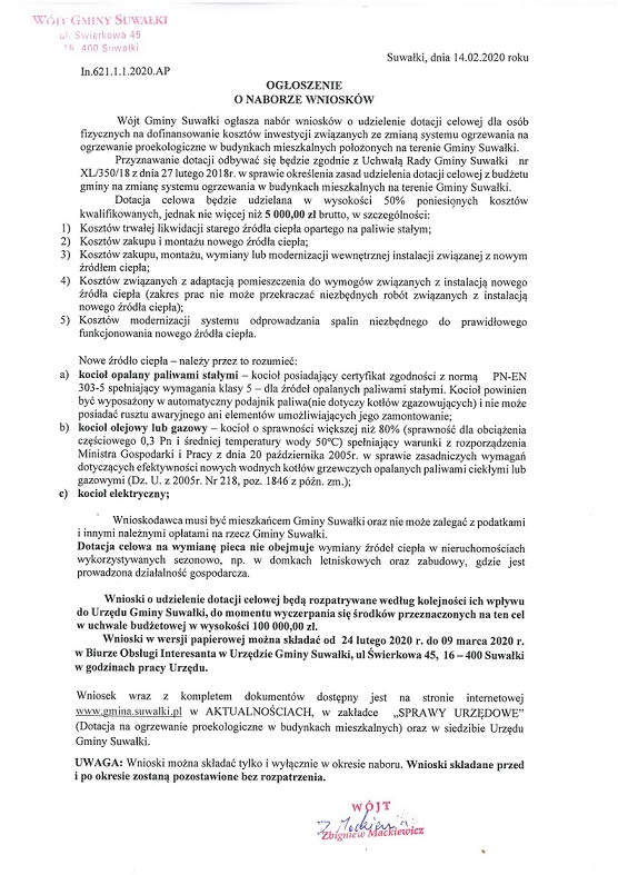
Urząd Gminy Suwałki informuje o naborze wniosków o udzielenie dotacji celowej dla osób fizycznych na dofinansowanie kosztów inwestycji związanych ze zmianą systemu ogrzewania na ogrzewanie proekologiczne w budynkach mieszkalnych położonych na terenie Gminy Suwałki.
Wnioski będzie można składać od 24 lutego do 9 marca.

| Informacje o piku (nazwa, opis) |
|---|
| Wniosek (docx, rozmiar: 15.71 KB) Data dodania: 2020-02-17 |
| 1 - Oświadczenie o zakresie planowanej inwestycji (doc, rozmiar: 31.00 KB) Data dodania: 2020-02-17 |
| 2 - Zgoda współwłaścicieli (doc, rozmiar: 30.00 KB) Data dodania: 2020-02-17 |
| 3 - Oświadczenie (doc, rozmiar: 26.50 KB) Data dodania: 2020-02-17 |
| 4 - Oświadczenie o niezaleganiu w podatkach i opłatach lokalnych na rzecz Gminy Suwałki (doc, rozmiar: 25.50 KB) |
| 5 - Wniosek o wypłatę dotacji (doc, rozmiar: 36.50 KB) Data dodania: 2020-02-17 |
| 6 - Wzór umowy (docx, rozmiar: 19.71 KB) Data dodania: 2020-02-17 |
| Uchwała XL/350/18 (pdf, rozmiar: 3.42 MB) Data dodania: 2020-02-17 |
| Zarządzenie 327/18 (pdf, rozmiar: 233.44 KB)Link otwiera się w nowym oknie Data dodania: 2020-02-17 |
| Klauzula informacyjna o przetwarzaniu danych osobowych (docx, rozmiar: 13.57 KB) Data dodania: 2020-02-17 |










